que es pwm
0689593953254
Que es pwm y como funciona
Agotado en estos momentos. Le podemos notificar por mail cuando esté disponible pulsando en "Indicarme cuando esté disponible" o "Tu@email" si no estas registrado
¡Últimas Unidades en stock!
Disponible el:
Que es pwm y como funciona
Te recomendamos este Blog
La modulación por ancho o de pulso (en inglés pulse width modulation PWM) es un tipo de señal de voltaje utilizada para enviar información o para modificar la cantidad de energía que se envía a una carga.
Esta acción tiene en cuenta la modificación del proceso de trabajo de una señal de tipo periódico.
Puede tener varios objetivos, como tener el control de la energía que se proporciona a una carga o llevar a cabo la transmisión de datos.
Si el ciclo de trabajo es del 25% se pasa el 25% de su periodo arriba y el 75% abajo. El periodo es lo que dura la onda sin repetirse. Por eso se va repitiendo con el tiempo porque el periodo se repite durante todo el tiempo. El periodo es la suma de la parte alta y baja una vez, cuando vuelve a subir ya es otro periodo y la onda vuelve a empezar otra vez.
Fíjarse que el ancho de la onda, su altura, siempre es la misma. De 0 a 5 Voltios. Lo único que varía es el tiempo que está en ON/OFF.
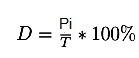
Este tipo de señales son de tipo cuadrada o sinusiodales en las cuales se les cambia el ancho relativo respecto al período de la misma, el resultado de este cambio es llamado ciclo de trabajo y sus unidades están representadas en términos de porcentaje. Matemáticamente se tiene que:

Pi= tiempo en que la señal es positiva
T = Período
Para emular una señal analógica se cambia el ciclo de trabajo (duty cicle en inglés) de tal manera que el valor promedio de la señal sea el voltaje aproximado que se desea obtener, pudiendo entonces enviar voltajes entre 0[V] y el máximo que soporte el dispositivo PWM utilizado.
Las aplicaciones típicas para este tipo de señales son controlar intensidad de un LED

Aplicación de este sistema PWM a Led de potencia 3w
Corriente de salida del driver que se debe conectar a la salida del controlador PWM
Lo primero que necesitamos saber es la corriente que el driver debe entregar para los leds.
Debido a que generalmente los leds están conectados en serie, la corriente que pasa por cada uno de ellos es la misma. Si los leds que conectamos son iguales entre si, nos sirve saber la potencia de uno de los leds y la tensión de umbral del mismo y con estos datos aplicamos la siguiente fòrmula :

En la fórmula, es la corriente que pasará por nuestro led y que corresponde a la corriente de salida de nuestro driver. Pled es la potencia de uno de los leds y Vled es la tensión del mismo. Por ejemplo, la corriente correcta para un led de 3 watt y 3,7V de tensión será de Iled= 3w/3,7V = 0,81A.
Como podemos observar, hasta ahora no se ha hablado de cuantos leds puedo conectar. El motivo es que para calcular la resistencia en una conexión de leds en serie no es necesario saber la cantidad, solamente sirve saber la corriente. ¿Entonces que determina la cantidad de leds que puedo conectar? Simplemente depende de la tensión de alimentación. Esta debería ser de 2,5V por encima de la suma de las tensiones de cada leds. Por ejemplo si conectáramos 3 leds de 3,7V en serie, la tensión de alimentación del circuito debería ser de por lo menos: V = 2,5V + ( 3 * 3,7V) = 13,6V. Este es el valor mínimo que permite que un driver regule la corriente correctamente.
OJO solo con un sistema PWM no es suficiente, los leds fallan porque no se controla la corriente que circula por ellos.
Los LEds iluminan con una intensidad proporcional a la corriente y no a la tensión. El LED es como el nombre lo indica, un diódo, lo que significa que por debajo de cierta tensión no fluye electricidad, apenas se alcanza la tensión mínima requerida fluye la corriente y el LED se ilumina.
Otro efecto del que hay que ser muy conciente cuando se utilizan LEDs es que si se calientan disminuye su resistencia interna, fluye mas corriente, se calienta mas y así esa avalancha destruye el LED con tal rapidez que es casi imposible reaccionar para frenar ese processo.
Visita este Blog
No hay comentarios en este momento.




























3,5700 €

2,3800 €

1,9800 €